OECD 정책브리핑
[OECD 정책브리핑] 기후를 위한 투자, 성장과 발전의 길 및 OECD 한국 노동시장의 인공지능(AI)
37
2025-11-11
인쇄
공유

주오이시디대한민국대표부

OECD대표부 정책브리핑

                                                                                                            http://www.facebook.com/oecdkorea

우리 대표부에서는 OECD 정책브리핑을 통해 매주 OECD의 최신 논의동향을 알려 드리고 있습니다. 기사나 보고서 등에 이 내용을 인용하시는 경우, 출처(주오이시디대한민국대표부)를 밝혀 주시기 바랍니다.

.

◈ 기후를 위한 투자, 성장과 발전의 길

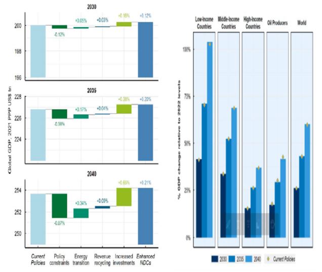
OECD는 UNDP와의 공동 연구 보고서 「기후를 위한 투자, 성장과 발전의 길(Investing in Climate for Growth and Development: The Case for Enhanced NDCs)」에서 각국이 2025년 제출할 차기 국가 온실가스 감축 목표(NDCs)가 기존보다 더 강력한 경제성장을 가져올 수 있다는 근거를 제시하였다. 보고서에 따르면 파리협정(Paris Agreement) 이후 청정에너지 투자가 화석연료 투자의 2배로 확대되는 등 전 세계적인 진전이 있었으나, 현재의 NDC는 1.5℃ 목표에 필요한 2030년까지 43% 감축에는 부족하다(14% 수준). 만일 각국이 파리협정 목표에 부합하도록 NDC를 상향하는 시나리오를 분석한 결과, GDP가 현행 대비 2040년 0.2% 증가하고, 기후 피해를 회피하는 효과를 포함하면 2100년 최대 13% 증가하는 것으로 나타났다. 각국 정부가 차기 NDC 달성을 위한 정부 전반의 참여와 자원배분을 확대하고, 개발정책이 NDC와 정합성을 확보하며, NDC 연계 투자를 활성화하기 위한 민간 부문의 협력을 강화할 것을 권고하였다. 이러한 모범사례로서 우리나라의 ‘온실가스 감축 인지 예산제도’와 제주도 전기차 인프라 보급 사례가 소개되었다.

.

◈ OECD 「한국 노동시장의 인공지능(AI)」

AI는 생산성 제고를 위한 핵심 수단으로 주목받고 있으나, 실제 한국 중소기업의 활용률이 31.3%에 그치는 등 국내 기업의 AI 활용 수준은 여전히 낮다. 고용보험 DB 분석 결과, 전통적 AI 노출은 고용 증가율을 떨어뜨리고 청년·여성·저숙련층의 고용과 임금 상승을 제약하는 반면, 생성형 AI는 고용에는 큰 영향을 주지 않으면서도 임금 증가율을 높이고 여성과 고숙련 근로자의 고용 확대에 기여하는 것으로 나타났다. 기업과 노동자 설문에서도 AI 도입이 생산성과 직무 만족도를 높였다고 응답해, 질적 측면에서 긍정적 효과가 확인되었다. 이에 따라 정책 과제로는 첫째, 취약계층 대상 직업훈련과 재취업 지원, 중소기업 맞춤형 훈련, 사회보호 체계 확충을 통한 포용적 전환 관리, 둘째, AI 활용 고지와 법·제도 정비, 자동화 의사결정 과정의 설명·이의제기권 보장 등 안전성과 신뢰 확보, 셋째, 중소기업 대상 컨설팅·보조금·세제 혜택·융자 및 공공 AI 도구 제공을 통한 활용 역량 강화, 넷째, 노사 간 사전 협의 제도화와 협의 구조 정립을 통한 사회적 대화 강화가 제시된다.

        < 기후 정책의 경제적 효과 시나리오 분석 결과 >

 

 

       < 국가별 중소기업의 AI 활용률(%, ’24년) >

 

 

OECD 대한민국 정책센터
OECD 대한민국 정책센터
닫기
© 주오이시디대표부의 뉴스레터
이 페이지는 오즈메일러로 만들었습니다.